Номер 1148 - ГДЗ Алгебра 7 класс. Мерзляк, Полонский. Учебник. Страница 227

Вернуться к содержанию учебника

Страница 227

1145 1146 1147 1148 1149 1150 1151

Вопрос

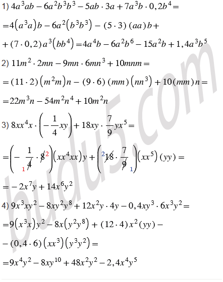
Упростите выражение:

Подсказка

Вспомните:

  1. Что называют многочленом, стандартный вид многочлена.
  2. Какие выражения называют одночленами, стандартный вид одночлена.
  3. Что называют степенью с натуральным показателем.
  4. Свойства степени с натуральным показателем.
  5. Умножение рациональных чисел.
  6. Умножение обыкновенных дробей.
  7. Умножение десятичных дробей.
  8. Переместительное и сочетательное свойства умножения.
  9. Сокращение дробей.

Ответ


Вернуться к содержанию учебника