Номер 1171 - ГДЗ Алгебра 7 класс. Мерзляк, Полонский. Учебник. Страница 230

Вернуться к содержанию учебника

Страница 230

1168 1169 1170 1171 1172 1173 1174

Вопрос

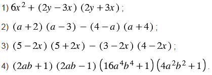
Упростите выражение:

Подсказка

Вспомните:

  1. Чему равно произведение разности двух выражений и их суммы.
  2. Свойства действий с рациональными числами.
  3. Степень с натуральным показателем.
  4. Свойства степени с натуральным показателем.
  5. Что называют многочленом.
  6. Что называют одночленом.
  7. Умножение многочлена на многочлен.
  8. Раскрытие скобок, приведение подобных слагаемых.
  9. Противоположные числа.
  10. Правила сложения рациональных чисел.
  11. Правило вычитания рациональных чисел.

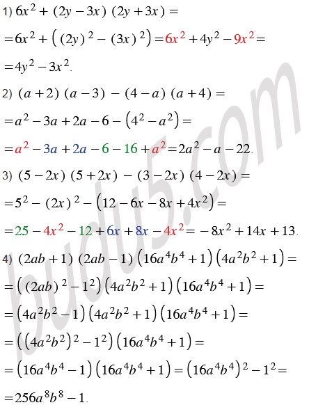
Ответ


Вернуться к содержанию учебника