Номер 1177 - ГДЗ Алгебра 7 класс. Мерзляк, Полонский. Учебник. Страница 230

Вернуться к содержанию учебника

Страница 230

1174 1175 1176 1177 1178 1179 1180

Вопрос

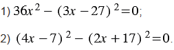
Решите уравнение:

Подсказка

Ответ


Вернуться к содержанию учебника