Номер 87 - ГДЗ Алгебра 8 класс. Мерзляк, Полонский. Учебник. Страница 23

Вернуться к содержанию учебника

Упражнения § 3. Страница 23

84 85 86 87 88 89 90

Вопрос

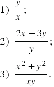
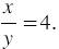
Известно, что Найдите значение выражения:

Подсказка

Вспомните:

  1. Какие дроби называют рациональными.
  2. Какие выражения называются дробными, а какие целыми.
  3. Сокращение рациональной дроби.
  4. Правило вычитания рациональных дробей с одинаковыми знаменателями.
  5. Правило сложения рациональных дробей с одинаковыми знаменателями.
  6. Сложение смешанных чисел.
  7. Какие числа являются взаимно обратными.
  8. Свойства степени с натуральным показателем.

Ответ


Вернуться к содержанию учебника