Номер 94 - ГДЗ Алгебра 8 класс. Мерзляк, Полонский. Учебник. Страница 24

Вернуться к содержанию учебника

Упражнения § 3. Страница 24

91 92 93 94 95 96 97

Вопрос

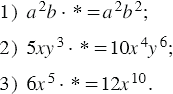
Вместо звёздочки запишите такой одночлен, чтобы выполнилось равенство:

Подсказка

Ответ


Вернуться к содержанию учебника