Номер 98 - ГДЗ Алгебра 8 класс. Мерзляк, Полонский. Учебник. Страница 26

Вернуться к содержанию учебника

Упражнения § 4. Страница 26

97 1 2 98 99 100 101

Вопрос

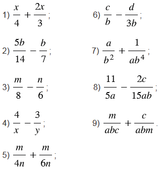
Выполните действия:

Подсказка

Вспомните:

  1. Какую дробь называют рациональной.
  2. Что называют одночленом.
  3. Что называют многочленом.
  4. Основное свойство рациональной дроби.
  5. Сложение и вычитание рациональных дробей с разными знаменателями.
  6. Сложение и вычитание рациональных дробей с одинаковыми знаменателями.
  7. Подобные слагаемые.
  8. Наименьшее общее кратное.
  9. Степень с натуральным показателем.
  10. Свойства степени с натуральным показателем.

Ответ


Вернуться к содержанию учебника