Номер 271 - ГДЗ Алгебра 8 класс. Мерзляк, Полонский. Учебник. Страница 67

Вернуться к содержанию учебника

Упражнения § 8. Страница 67

268 269 270 271 272 273 1

Вопрос

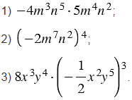
Упростите выражение:

Подсказка

Ответ


Вернуться к содержанию учебника