Номер 288 - ГДЗ Алгебра 8 класс. Мерзляк, Полонский. Учебник. Страница 72

Вернуться к содержанию учебника

Упражнения § 9. Страница 72

285 286 287 288 289 290 291

Вопрос

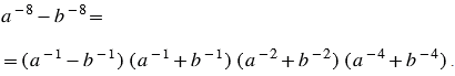
Докажите тождество:

Подсказка

Ответ


Вернуться к содержанию учебника