Номер 285 - ГДЗ Алгебра 8 класс. Мерзляк, Полонский. Учебник. Страница 72

Вернуться к содержанию учебника

Упражнения § 9. Страница 72

282 283 284 285 286 287 288

Вопрос

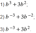
Вынесите за скобки степень с основанием b и наименьшим из данных показателей:

Подсказка

Вспомните:

  1. Степень с целым показателем.
  2. Свойства степени с целым показателем.
  3. Сравнение рациональных чисел.
  4. Разложение многочленов на множители.
  5. Распределительное свойство умножения.
  6. Сложение рациональных чисел.
  7. Вычитание рациональных чисел.

Ответ


Вернуться к содержанию учебника