Вернуться к содержанию учебника
Упражнения § 9. Страница 73
Порядок числа
равен 2, а порядок числа
равен 4. Каким может быть порядок значения выражения:

Вспомните:

Ответ: порядок значения выражения
может быть равен 6 или 7.

Ответ: порядок значения выражения
может быть равен 4 или 5.

Ответ: порядок значения выражения
может быть равен 4 или 5.

Ответ: порядок значения выражения
может быть равен 4 или 5.
Пояснения:
Стандартным видом числа называют его запись в виде произведения
, где
и
- целое число. Число
называют порядком числа, записанного в стандартном виде
.
Для любого числа
, не равного нулю, и натурального числа
справедливо равенство:
.
Также помним следующее свойство степени: для любого
и любых целых
и
выполняются равенства:
.
По условию порядок числа
равен 2, а порядок числа
равен 4, значит,
, где
и
, где
.
Рассмотрим подробное решение задания из первого пункта.
Определим, каким может быть порядок значения выражения
.
Учитывая то, что
и
, получаем:

Сгруппируем множители в рассматриваемом произведении так как указано ниже, при этом учитываем свойство умножения степеней с одинаковыми основаниями:

При записи выражения
в стандартном виде должно выполняться условие
, но по условию
и
, значит, может получится так, что
или
, тогда:
будет иметь порядок 6, если
;
будет иметь порядок 7, если
.Итак, получается, порядок значения выражения
может быть равен 6 или 7.
Рассмотрим подробное решение задания из второго пункта.
Определим, каким может быть порядок значения выражения
.
Учитывая то, что
и
и то, что
получаем:

Сгруппируем множители в рассматриваемом произведении так как указано ниже, при этом учитываем свойство умножения степеней с одинаковыми основаниями:

При записи выражения
в стандартном виде должно выполняться условие
, но по условию
и
, значит, может получится так, что
или
, тогда:
будет иметь порядок 4, если
;
будет иметь порядок 5, если
.Итак, получается, порядок значения выражения
может быть равен 4 или 5.
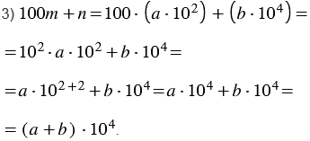
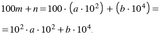
Рассмотрим подробное решение задания из третьего пункта.
Определим, каким может быть порядок значения выражения
.
Учитывая то, что
и
и то, что 100 = 102 получаем:

Учитывая свойство умножения степеней с одинаковыми основаниями, 102102 = 102+2 = 104, получаем следующее выражение:

В полученном выражении выносим за скобки общий множитель 104, получаем:
.
При записи выражения
в стандартном виде должно выполняться условие
, но по условию
и
, значит, может получится так, что
или
, тогда:
будет иметь порядок 4, если
;
будет иметь порядок 5, если
.Итак, получается, порядок значения выражения
может быть равен 4 или 5.
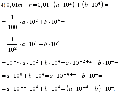
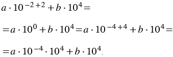
Рассмотрим подробное решение задания из четвертого пункта.
Определим, каким может быть порядок значения выражения
.
Учитывая то, что
и
и то, что
получаем:

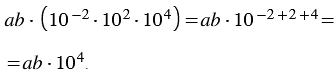
Учитывая свойство умножения степеней с одинаковыми основаниями, 10-2102 = 10-2+2 = 100 = 10-4+4 = 10-4104, получаем следующее выражение:

В полученном выражении выносим за скобки общий множитель 104, получаем:
.
При записи выражения
в стандартном виде должно выполняться условие
, но по условию
и
, значит, может получится так, что
или
, тогда:
будет иметь порядок 4, если
;
будет иметь порядок 5, если
.Итак, получается, порядок значения выражения
может быть равен 4 или 5.
Вернуться к содержанию учебника