Номер 304 - ГДЗ Алгебра 8 класс. Мерзляк, Полонский. Учебник. Страница 74

Вернуться к содержанию учебника

Упражнения § 9. Страница 74

301 302 303 304 305 306 307

Вопрос

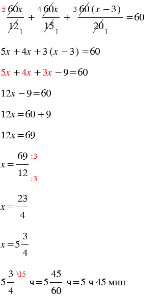
Для откачивания воды из затопленного помещения были задействованы три насоса. Первый из них может выкачать всю воду за 12 ч, второй - за 15 ч, а третий - за 20 ч. Сначала в течение 3 ч работали первый и второй насосы, а затем подключили третий насос. За какое время была откачана вся вода?

Подсказка

Ответ


Вернуться к содержанию учебника