Номер 310 - ГДЗ Алгебра 8 класс. Мерзляк, Полонский. Учебник. Страница 74

Вернуться к содержанию учебника

Упражнения § 9. Страница 74

307 308 309 310 311 1 2

Вопрос

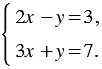
Решите графически систему уравнений:

Подсказка

Вспомните:

  1. Графический метод решения системы двух линейных уравнений с двумя переменными.
  2. Линейное уравнение с двумя переменными и его график.
  3. Линейная функция и ее график.
  4. Координаты точки.
  5. Свойства уравнений.
  6. Умножение рациональных чисел.

Ответ


Вернуться к содержанию учебника