Рассмотрим задачу:
Разность двух чисел равна 4, а их произведение 12. Найдите эти числа.
Решение:
Обозначим первое число буквой
, а второе буквой
. По условию задачи разность чисел равна 4, т.е.
-
= 4.
Так как произведение чисел равно 12, то 
= 12.
Мы составили два уравнения с двумя переменными. Чтобы ответить на вопрос задачи, надо найти такие значения переменных, которые обращают в верное равенство каждое из уравнений
-
= 4 и 
= 12, т.е. найти общие решения этих уравнений. В таких случаях говорят, что требуется решить систему уравнений.
Систему уравнений записывают с помощью фигурной скобки. Поэтому, составленную нами систему уравнений, можно записать так:

Пара значений переменных
= 6,
= 2 является решением каждого уравнения системы, т.к. оба равенства 6 - 2 = 4 и 6
2 = 12 являются верными. Такую пару называют решением системы.
|
Решением системы уравнений с двумя переменными называют пару значений переменных, обращающую каждое уравнение в верное равенство. Решить систему уравнений - это значит найти все ее решения или убедиться, что их нет. |
Для того чтобы решить систему линейных уравнений с двумя переменными, можно использовать использовать графики уравнений.
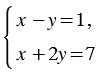
Решим систему уравнений:

Выразив из уравнения
переменную
через переменную
, получим линейную функцию
. Построим в координатной плоскости график этой функции.
Для этого составим таблицу значений функции
для некоторых значений аргумента
.

Отметим на координатной плоскости точки с координатами (1; 0) и (3; 2) и проведем через них прямую, которая является графиком линейной функции
.

Выразив из уравнения
переменную
через переменную
(для этого перенесем переменную
из левой части уравнения в правую, изменив ее знак, и разделим обе части уравнения на 2), получим линейную функцию
. Построим в той же координатной плоскости график этой функции.
Для этого составим таблицу значений функции
для некоторых значений аргумента
.

Отметим на имеющейся координатной плоскости точки с координатами (1; 3) и (5; 1) и проведем через них прямую, которая является графиком линейной функции
.

Мы получили, что прямые, которые соответствуют уравнениям
и
, пересекаются в точке Р(3; 2), координаты этой точки удовлетворяют как первому уравнению системы, так и второму, т.е. являются решением системы. Значит, рассматриваемая система имеет единственное решение:
= 3,
= 2.
Описанный выше метод решения системы уравнений называют графическим.
|
Суть графического метода решения системы уравнений с двумя переменными: 1) построить на одной координатной плоскости графики уравнений, входящих в систему; 2) найти координаты всех точек пересечения построенных графиков; 3) полученные пары чисел и будут искомыми решениями. |
Заметим, что графический способ обычно позволяет находить решения лишь приближенно. Поэтому графический метод эффективен в тех случаях, когда требуется определить количество решений системы.
Определим, сколько решений может иметь система двух линейных уравнений с двумя переменными.
1) Если одно из уравнений системы не имеет решения, то и вся система решений не имеет.
2) Если графиком одного из уравнений системы является вся плоскость, то система имеет бесконечно много решений.
3) Если графиками уравнений, входящих в систему линейных уравнений, являются прямые, то количество решений этой системы зависит от взаимного расположения двух прямых на плоскости:
Рассмотренная нами выше система

имеет единственное решение
= 3,
= 2.
Рассмотрим систему

Если умножить обе части первого уравнения этой системы на 3, то решения этого уравнения, а значит, и всей системы не изменятся. Получим:

В полученной системе первое и второе уравнения одинаковые, значит, решения этой системы совпадают с решениями уравнения
. Но это уравнение имеет бесконечно много решений, а следовательно, и рассматриваемая система имеет бесконечно много решений.
Рассмотрим систему

Если умножить обе части первого уравнения этой системы на 5, то решения этого уравнения, а значит, и всей системы не изменятся. Получим:

Очевидно, что не существует такой пары значений
и
, при которых выражение
одновременно принимает значения и 45, и 11. Следовательно, рассматриваемая система не имеет решений.
Линейное уравнение с двумя переменными и его график
Решение систем линейных уравнений методом подстановки
Решение систем линейных уравнений методом сложения
Решение задач с помощью систем линейных уравнений
Линейные неравенства с двумя переменными и их системы
Исследование системы двух линейных уравнений с двумя переменными
Линейное уравнение с одной переменной
Решение задач с помощью уравнений
Тождественно равные выражения. Тождества
Степень с натуральным показателем
Свойства степени с натуральным показателем
Сложение и вычитание многочленов
Умножение одночлена на многочлен
Умножение многочлена на многочлен
Разложение многочленов на множители
Формулы сокращенного умножения
Квадратные корни. Дейстительные числа
Системы линейных уравнений с двумя переменными
Элементы математической логики
7 класс
Номер 1019, Мерзляк, Полонский, Якир, Учебник
Номер 1069, Мерзляк, Полонский, Якир, Учебник
Номер 1070, Мерзляк, Полонский, Якир, Учебник
Номер 1126, Мерзляк, Полонский, Якир, Учебник
Номер 3, Мерзляк, Полонский, Якир, Учебник
Номер 9, Мерзляк, Полонский, Якир, Учебник
Номер 12, Мерзляк, Полонский, Якир, Учебник
Упражнение 1086, Макарычев, Миндюк, Нешков, Суворова, Учебник
Упражнение 1098, Макарычев, Миндюк, Нешков, Суворова, Учебник
Упражнение 1195, Макарычев, Миндюк, Нешков, Суворова, Учебник
8 класс
Номер 338, Мерзляк, Полонский, Якир, Учебник
Номер 371, Мерзляк, Полонский, Якир, Учебник
Номер 420, Мерзляк, Полонский, Якир, Учебник
Упражнение 708, Макарычев, Миндюк, Нешков, Суворова, Учебник
Упражнение 714, Макарычев, Миндюк, Нешков, Суворова, Учебник
Упражнение 716, Макарычев, Миндюк, Нешков, Суворова, Учебник
Упражнение 832, Макарычев, Миндюк, Нешков, Суворова, Учебник
Упражнение 833, Макарычев, Миндюк, Нешков, Суворова, Учебник
Упражнение 1330, Макарычев, Миндюк, Нешков, Суворова, Учебник
Упражнение стр. 171, Макарычев, Миндюк, Нешков, Суворова, Учебник
9 класс
Упражнение 401, Макарычев, Миндюк, Нешков, Суворова, Учебник
Упражнение 460, Макарычев, Миндюк, Нешков, Суворова, Учебник
Упражнение 491, Макарычев, Миндюк, Нешков, Суворова, Учебник
Упражнение 503, Макарычев, Миндюк, Нешков, Суворова, Учебник
Упражнение 585, Макарычев, Миндюк, Нешков, Суворова, Учебник
Упражнение 587, Макарычев, Миндюк, Нешков, Суворова, Учебник
Упражнение 664, Макарычев, Миндюк, Нешков, Суворова, Учебник
Упражнение 780, Макарычев, Миндюк, Нешков, Суворова, Учебник
Упражнение 786, Макарычев, Миндюк, Нешков, Суворова, Учебник
Упражнение 864, Макарычев, Миндюк, Нешков, Суворова, Учебник