Вернуться к содержанию учебника
Упражнения § 10. Страница 81
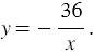
Задана функция
Найдите:
1) значение функции, если значение аргумента равно:
4; 0,9; 18;
2) значение аргумента, при котором значение функции равно: 6;
0,3; 8.
Вспомните:

Пояснения:
Независимую переменную еще называют аргументом функции. Значение зависимой переменной также называют значением функции. Чтобы найти значение функции при данном значении аргумента, мы должны подставить данное значение аргумента в формулу и произвести вычисления. Чтобы найти значение аргумента, при котором функция принимает определенное значение, надо выразить аргумент из формулы и подставить данное значение функции и произвести вычисления.
Вернуться к содержанию учебника