Номер 520 - ГДЗ Алгебра 8 класс. Мерзляк, Полонский. Учебник. Страница 132

Вернуться к содержанию учебника

Упражнения §16. Страница 132

517 518 519 520 521 522 523

Вопрос

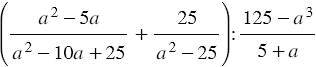
Найдите значение выражения

при = 4,5.

Подсказка

Ответ


Вернуться к содержанию учебника