Вернуться к содержанию учебника
Упражнения §18. Страница 150
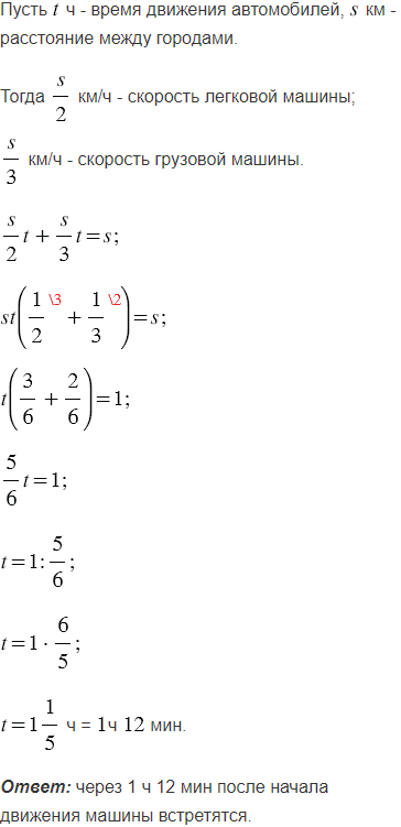
Расстояние между двумя городами легковая машина проезжает за 2 ч, а грузовая за 3 ч. Через какое время после начала движения они встретятся, если выедут одновременно навстречу друг другу из этих городов?
Вспомните:
Вернуться к содержанию учебника