Номер 641 - ГДЗ Алгебра 8 класс. Мерзляк, Полонский. Учебник. Страница 162

Вернуться к содержанию учебника

Упражнения §19. Страница 162

638 639 640 641 642 643 644

Вопрос

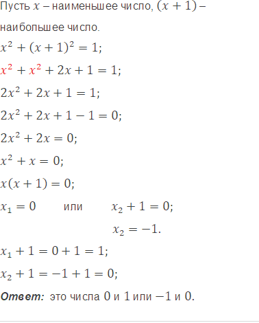
Найдите два последовательных целых числа, сумма квадратов которых равна 1.

Подсказка

Вспомните:

  1. Что такое уравнение.
  2. Что называют корнем уравнения.
  3. Решение уравнений.
  4. Какое уравнение называют квадратным.
  5. Какие числа называют целыми.
  6. Квадрат суммы двух выражений.

Ответ


Вернуться к содержанию учебника