Номер 642 - ГДЗ Алгебра 8 класс. Мерзляк, Полонский. Учебник. Страница 162

Вернуться к содержанию учебника

Упражнения §19. Страница 162

639 640 641 642 643 644 645

Вопрос

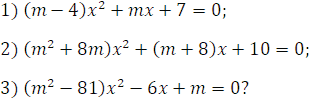
При каком значении не является квадратным уравнением:

Подсказка

Вспомните:

  1. Что такое уравнение.
  2. Что называют корнем уравнения.
  3. Какое уравнение называют квадратным.
  4. Как называют коэффициенты квадратного уравнения.
  5. Распределительное свойство умножения.
  6. Разность квадратов двух выражений.

Ответ


Вернуться к содержанию учебника