Номер 647 - ГДЗ Алгебра 8 класс. Мерзляк, Полонский. Учебник. Страница 162

Вернуться к содержанию учебника

Упражнения §19. Страница 162

644 645 646 647 648 649 650

Вопрос

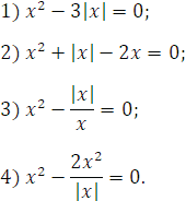
Решите уравнение:

Подсказка

Ответ


Вернуться к содержанию учебника