Вернуться к содержанию учебника
Выберите год учебника
№581 учебника 2013-2022 (стр. 153):
Для определения высоты дерева можно использовать зеркало так, как показано на рисунке 203. Луч света FD, отражаясь от зеркала в точке D, попадает в глаз человека (точку В). Определите высоту дерева, если АС = 165 см, ВС = 12 см, АD = 120 см, DE = 4,8 м,
1 =
2.

№581 учебника 2023-2026 (стр. 156):
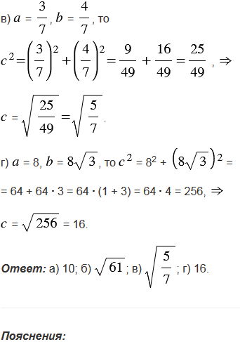
Найдите гипотенузу прямоугольного треугольника по данным катетам
и
:
а)
= 6,
= 8;
б)
= 5,
= 6;
в)
=
,
=
;
г)
= 8,
=
.
№581 учебника 2013-2022 (стр. 153):
Вспомните:
№581 учебника 2023-2026 (стр. 156):
Вспомните:
Вернуться к содержанию учебника