Вернуться к содержанию учебника
Выберите год учебника
№718 учебника 2013-2022 (стр. 186):
По данным рисунка 237 докажите, что
АМВ =
(
СLD +
AKB).

№718 учебника 2023-2026 (стр. 187):
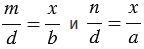
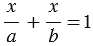
Два шеста АВ и CD разной длины
и
установлены вертикально на некотором расстоянии друг от друга так, как показано на рисунке 210. Концы А и D, В и С соединены верёвками, которые пересекаются в точке О. По данным рисунка докажите, что: а)
; б)
. Найдите
и докажите, что
не зависит от расстояния
между шестами АВ и CD.

Рис. 241
№718 учебника 2013-2022 (стр. 186):
Вспомните:
№718 учебника 2023-2026 (стр. 187):
Вспомните:
Вернуться к содержанию учебника