Задание 851 - ГДЗ Геометрия 7-9 класс. Атанасян. Учебник

Старая и новая редакции

Вернуться к содержанию учебника

848 849 850 851 852 853 854

Вопрос

Выберите год учебника

№851 учебника 2013-2022 (стр. 214):

Гипотенуза прямоугольного треугольника является стороной квадрата, не перекрывающегося с этим треугольником. Найдите расстояние от точки пересечения диагоналей квадрата до вершины прямого угла треугольника, если сумма катетов равна .


№851 учебника 2023-2026 (стр. 216):

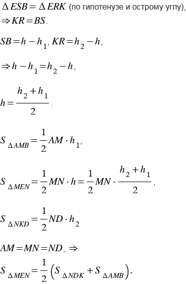
Два непересекающихся отрезка делят каждую из двух противоположных сторон выпуклого четырёхугольника на три равные части. Докажите, что площадь той части четырёхугольника, которая заключена между этими отрезками, в три раза меньше площади самого четырёхугольника.

Подсказка

№851 учебника 2013-2022 (стр. 214):

Вспомните:

  1. Какой треугольник называется прямоугольным.
  2. Какой четырехугольник называется квадратом, свойство диагоналей квадрата.
  3. Что такое диагональ многоугольника.
  4. Свойства прямоугольного треугольника.
  5. Какой треугольник называется равнобедренным.
  6. Теорему Пифагора.

№851 учебника 2023-2026 (стр. 216):

Вспомните:

  1. Что такое четырехугольник.
  2. Что такое треугольник.
  3. Что такое высота.
  4. Что такое площадь.
  5. Как вычислить площадь треугольника.

Ответ

№851 учебника 2013-2022 (стр. 214):


№851 учебника 2023-2026 (стр. 216):


Вернуться к содержанию учебника