Вернуться к содержанию учебника
Выберите год учебника
№860 учебника 2013-2022 (стр. 215):
Докажите, что если отрезок, соединяющий середины двух противоположных сторон выпуклого четырехугольника, равен полусумме двух других сторон, то этот четырехугольник - трапеция или параллелограмм.
№860 учебника 2023-2026 (стр. 217):
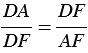
На рисунке 275 изображен правильный пятиугольник АВСDЕ, т.е. выпуклый пятиугольник, у которого все углы равны и все стороны равны. Докажите, что:
а)
АDЕ
АFE;
б)
.

Рис. 275
№860 учебника 2013-2022 (стр. 215):
Вспомните:
№860 учебника 2023-2026 (стр. 217):
Вспомните:
Вернуться к содержанию учебника