Выпуклый многоугольник - это многоугольник, который лежит по одну сторону от каждой прямой, проходящей через две его соседние вершины. На рис.1 многоугольник М1 является выпуклым многоугольником, а многоугольник М2 - невыпуклым.

Рассмотрим выпуклый
-угольник (рис.2,
). АnА1А2, А1А2А3, ..., Аn-1АnА1 - углы этого многоугольника. Найдем их сумму.

Соединим вершину А1 диагоналями с другими вершинами (рис.2, б). В итоге получим n-2 треугольника, сумма углов которых равна сумме углов n-угольника. Сумма углов каждого треугольника равна 1800, поэтому сумма углов многоугольника А1А2...Аn равна (
-2 )
1800.
Сумма углов выпуклого -угольника равна ( - 2) 1800. |
Примечание: Сумма углов невыпуклого
-угольника также равна (
- 2)
1800.
Внешний угол выпуклого многоугольника - угол, смежный с углом многоугольника. На рис.3 угол OAB внешний угол многоугольника АВСDE смежный с углом ВАЕ.

Если при каждой вершине выпуклого многоугольника А1А2...Аn взять по одному внешнему углу, то сумма этих внешних углов окажется равной
1800 - А1 + 1800 - А2 + ... + 1800 - Аn = n
1800 - (A1 + A2 + ... + An) = n
1800 - (n-2)
1800 = n
1800 - n
1800 + 2
1800 = 3600.
| Сумма внешних углов выпуклого многоугольника равна 3600. |
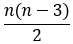
Количество диагоналей выпуклого -угольника находится по формуле . |
-угольника можно провести
− 3 диагонали. Из всех
вершин можно провести
(
− 3) диагоналей, однако при таком подсчёте каждая диагональ учитывается дважды (объясните почему), т.е. мы нашли удвоенное число диагоналей
-угольника. Следовательно, число диагоналей выпуклого
-угольника равно
.Симметрии фигур (осевая, центральная, поворотная, переносная)
7 класс
Задание 370, Атанасян, Бутузов, Кадомцев, Позняк, Юдина, Учебник
Задание 724, Атанасян, Бутузов, Кадомцев, Позняк, Юдина, Учебник
Задание 811, Атанасян, Бутузов, Кадомцев, Позняк, Юдина, Учебник
Задание 812, Атанасян, Бутузов, Кадомцев, Позняк, Юдина, Учебник
Задание 856, Атанасян, Бутузов, Кадомцев, Позняк, Юдина, Учебник
Задание 858, Атанасян, Бутузов, Кадомцев, Позняк, Юдина, Учебник
Задание 1059, Атанасян, Бутузов, Кадомцев, Позняк, Юдина, Учебник
Задание 1080, Атанасян, Бутузов, Кадомцев, Позняк, Юдина, Учебник
Задание 1081, Атанасян, Бутузов, Кадомцев, Позняк, Юдина, Учебник
Задание 1271, Атанасян, Бутузов, Кадомцев, Позняк, Юдина, Учебник
9 класс
Упражнение 564, Макарычев, Миндюк, Нешков, Суворова, Учебник