Вернуться к содержанию учебника
Выберите год учебника
№464 учебника 2013-2022 (стр. 126):
Пусть a и b - смежные стороны параллелограмма, S - площадь, а h1 и h2 - его высоты. Найдите: а) h2, если а = 18 см, b = 30 см, h1 = 6 см, h2 > h1; б) h1, если а = 10 см, b = 15 см, h2 = 6 см, h2 > h1; в) h1 и h2, если S = 54 см2, а = 4,5 см, b = 6 см.
№464 учебника 2023-2026 (стр. 123):
№464 учебника 2013-2022 (стр. 126):
Вспомните:
№464 учебника 2023-2026 (стр. 123):
Вспомните, как определить количество диагоналей выпуклого многоугольника.
№464 учебника 2013-2022 (стр. 126):



№464 учебника 2023-2026 (стр. 123):

а)
= 5

Ответ: у выпуклого пятиугольника 5 диагоналей.
б)
= 12

Ответ: у выпуклого двенадцатиугольника 54 диагонали.
в)
= 25

Ответ: у выпуклого двадцатипятиугольника 275 диагоналей.
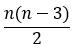
Пояснения:
-угольника находится по формуле:
.Вернуться к содержанию учебника