Задание 926 - ГДЗ Геометрия 7-9 класс. Атанасян. Учебник. Страница 228

Старая и новая редакции

Вернуться к содержанию учебника

923 924 925 926 927 928 929

Вопрос

Выберите год учебника

№926 учебника 2013-2022 (стр. 228):

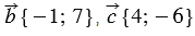
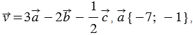
Найдите координаты вектора , если: а) ; б) ;

в) ; г) .


№926 учебника 2023-2024 (стр. 228):

Отметьте точки А, В и С, не лежащие на одной прямой. Начертите все ненулевые векторы, начало и конец которых совпадают с какими-то двумя из этих точек. Выпишите все полученные векторы и укажите начало и конец каждого вектора.

Подсказка

№926 учебника 2013-2022 (стр. 228):

Вспомните:

  1. Что такое вектор.
  2. Координаты вектора.

№926 учебника 2023-2024 (стр. 228):

Вспомните, что такое вектор.

Ответ

№926 учебника 2013-2022 (стр. 228):


№926 учебника 2023-2024 (стр. 228):


Вернуться к содержанию учебника