Задание 986 - ГДЗ Геометрия 7-9 класс. Атанасян. Учебник

Старая и новая редакции

Вернуться к содержанию учебника

983 984 985 986 987 988 989

Вопрос

Выберите год учебника

№986 учебника 2013-2022 (стр. 244):

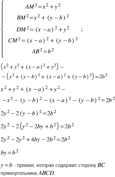
Дан прямоугольник ABCD. Найдите множество всех точек М, для каждой из которых

(AM2 + DM2) - (BM2 + CM2) = 2AB2.


№986 учебника 2023-2026 (стр. 243):

Боковая сторона равнобедренной трапеции равна 48 см, а средняя линия делится диагональю на два отрезка, равные 11 см и 35 см. Найдите углы трапеции.

Подсказка

№986 учебника 2013-2022 (стр. 244):

Вспомните:

  1. Что такое прямая.
  2. Что такое прямоугольник.
  3. Что такое система координат.
  4. Как определить координаты точки.
  5. Что называется уравнением линии.
  6. Какой вид имеет уравнение прямой.

№986 учебника 2023-2026 (стр. 243):

Вспомните:

  1. Что такое трапеция.
  2. Что такое диагональ.
  3. Что такое средняя линия трапеции.
  4. Что такое треугольник.
  5. Что такое средняя линия треугольника.
  6. Какой треугольник называется прямоугольным.
  7. Свойства прямоугольного треугольника.

Ответ

№986 учебника 2013-2022 (стр. 244):


№986 учебника 2023-2026 (стр. 243):


Вернуться к содержанию учебника