Задание 990 - ГДЗ Геометрия 7-9 класс. Атанасян. Учебник

Старая и новая редакции

Вернуться к содержанию учебника

987 988 989 990 991 992 993

Вопрос

Выберите год учебника

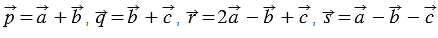
№990 учебника 2013-2022 (стр. 245):

Даны векторы .

а) Найдите координаты векторов .

б) Найдите .


№990 учебника 2023-2026 (стр. 244):

На стороне ВС треугольника АВС отмечена точка N так, что ВN = 2NC. Выразите вектор через векторы = и = .

Подсказка

№990 учебника 2013-2022 (стр. 245):

Вспомните:

  1. Что такое вектор, его длина.
  2. Координаты вектора.
  3. Как найти длину вектора, зная его координаты.

№990 учебника 2023-2026 (стр. 244):

Вспомните:

  1. Какая фигура называется треугольником.
  2. Что такое вектор.
  3. Правило треугольника.
  4. Какие векторы называются противоположными.
  5. Что такое отрезок.
  6. Законы сложения векторов.

Ответ

№990 учебника 2013-2022 (стр. 245):


№990 учебника 2023-2026 (стр. 244):


Вернуться к содержанию учебника