Вернуться к содержанию учебника
Выберите год учебника
№1164 учебника 2013-2022 (стр. 296):
Даны равнобедренный треугольник АВС с основанием АС и такая точка D на прямой АС, что точка С лежит на отрезке АD. а) Постройте отрезок В1D, который получается из отрезка ВС параллельным переносом на вектор
. б) Докажите, что четырехугольник АВВ1D - равнобедренная трапеция.
№1164 учебника 2023-2026 (стр. 293):
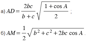
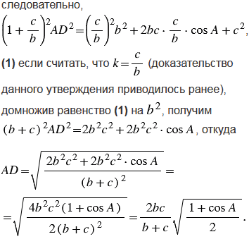
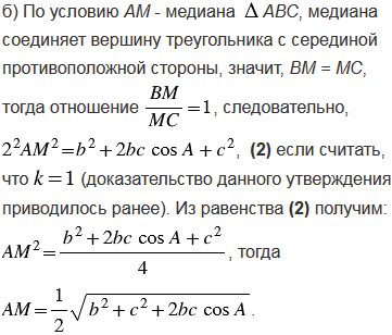
В треугольнике АВС отрезок АD - биссектриса, АМ - медиана,
= АС,
= АВ. Докажите, что:

№1164 учебника 2013-2022 (стр. 296):
Вспомните:
№1164 учебника 2023-2026 (стр. 293):
Вспомните:
Вернуться к содержанию учебника