Вернуться к содержанию учебника
Выберите год учебника
№1177 учебника 2013-2022 (стр. 298):
Медианы АА1, ВВ1 и СС1 треугольника АВС пересекаются в точке М. Точки А2, В2 и С2 являются соответственно серединами отрезков АМ, ВМ и СМ. Докажите, что
А1В1С1 =
А1В2С2.
№1177 учебника 2023-2026 (стр. 301):
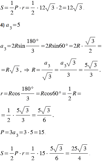
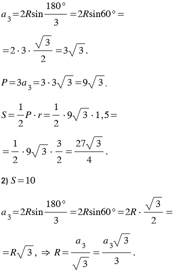
На рисунке 347, б изображен правильный треугольник, вписанный в окружность радиуса R. Перечертите таблицу в тетрадь и заполните пустые клетки (
- сторона треугольника, Р - периметр треугольника, S - его площадь, r - радиус вписанной окружности.
| № | R | r | ![]() |
P | S |
| 1 | 3 | ||||
| 2 | 10 | ||||
| 3 | 2 | ||||
| 4 | 5 | ||||
| 5 | 6 |

Рис. 347
№1177 учебника 2013-2022 (стр. 298):
Вспомните:
№1177 учебника 2023-2026 (стр. 301):
Вспомните:
Вернуться к содержанию учебника