Задание 1206 - ГДЗ Геометрия 7-9 класс. Атанасян. Учебник

Старая и новая редакции

Вернуться к содержанию учебника

1203 1204 1205 1206 1207 1208 1209

Вопрос

Выберите год учебника

№1206 учебника 2013-2022 (стр. 316):

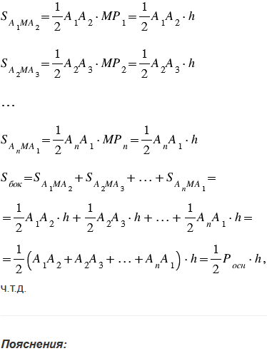
Докажите, что площадь боковой поверхности правильной пирамиды (т.е. сумма площадей её боковых граней) равна половине произведения периметра основания на апофему.


№1206 учебника 2023-2026 (стр. 309):

Как изменится площадь круга, если его радиус: а) увеличить в раз; б) уменьшить в раз?

Подсказка

№1206 учебника 2013-2022 (стр. 316):

Вспомните:

  1. Что такое треугольник.
  2. Как вычислить площадь треугольника.
  3. Что такое многоугольник.
  4. Какой многоугольник называется правильным.
  5. Что такое многогранник.
  6. Что такое пирамида.
  7. Какая пирамида называется правильной.
  8. Что такое апофема.

№1206 учебника 2023-2026 (стр. 309):

Вспомните:

  1. Что такое окружность.
  2. Что такое круг.
  3. Что такое площадь.
  4. Как вычислить площадь круга.

Ответ

№1206 учебника 2013-2022 (стр. 316):


№1206 учебника 2023-2026 (стр. 309):


Вернуться к содержанию учебника