Задание 1208 - ГДЗ Геометрия 7-9 класс. Атанасян. Учебник

Старая и новая редакции

Вернуться к содержанию учебника

1205 1206 1207 1208 1209 1210 1211

Вопрос

Выберите год учебника

№1208 учебника 2013-2022 (стр. 316):

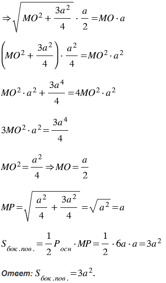
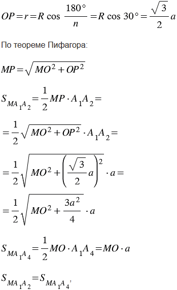
Найдите площадь боковой поверхности правильной шестиугольной пирамиды, если сторона её основания равна , а площадь боковой грани равна площади сечения, проведённого через вершину пирамиды и большую диагональ основания.


№1208 учебника 2023-2026 (стр. 309):

Найдите площадь круга, вписанного: а) в равносторонний треугольник со стороной ; б) в прямоугольный треугольник с катетом и прилежащим к нему острым углом ; в) в равнобедренный треугольник с боковой стороной и углом , противолежащим основанию; г) в равнобедренную трапецию с большим основанием и острым углом .

Подсказка

№1208 учебника 2013-2022 (стр. 316):

Вспомните:

  1. Что такое треугольник.
  2. Как вычислить площадь треугольника.
  3. Какой треугольник называется прямоугольным.
  4. Теорему Пифагора.
  5. Что такое многоугольник.
  6. Что такое диагональ многоугольника.
  7. Формулы для вычисления площади правильного многоугольника, его стороны и радиуса вписанной окружности
  8. Что такое многогранник.
  9. Что такое пирамида.

№1208 учебника 2023-2026 (стр. 309):

Вспомните:

  1. Что такое треугольник.
  2. Какие треугольники называются подобными.
  3. Первый признак подобия треугольников.
  4. Какой треугольник называется прямоугольным.
  5. Теорема Пифагора.
  6. Какой треугольник называется равнобедренным.
  7. Свойства равнобедренного треугольника.
  8. Что такое трапеция.
  9. Что такое синус, косинус и тангенс.
  10. Что такое окружность.
  11. Что такое круг.
  12. Какую окружность называют вписанной.
  13. Как найти площадь круга.

Ответ

№1208 учебника 2013-2022 (стр. 316):


№1208 учебника 2023-2026 (стр. 309):


Вернуться к содержанию учебника