Задание 1268 - ГДЗ Геометрия 7-9 класс. Атанасян. Учебник

Старая и новая редакции

Вернуться к содержанию учебника

1265 1266 1267 1268 1269 1270 1271

Вопрос

Выберите год учебника

№1268 учебника 2013-2022 (стр. 331):

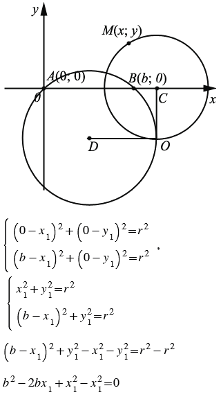
Пусть А и В - данные точки, - данное положительное число, не равное 1.

а) Докажите, что множество всех точек М, удовлетворяющих условию АМ = ВМ, есть окружность (окружность Аполлония).

б) Докажите, что эта окружность пересекается с любой окружностью, проходящей через точки А и В, так, что их радиусы, проведённые в точку пересечения, взаимно перпендикулярны.


№1268 учебника 2023-2026 (стр. 322):

Постройте прямую 1, которая получается из данной прямой поворотом вокруг точки О на угол 600 по часовой стрелке, если прямая : а) не проходит через точку О; б) проходит через точку О.

Подсказка

№1268 учебника 2013-2022 (стр. 331):

Вспомните:

  1. Что такое точка, прямая.
  2. Что такое треугольник.
  3. Какой треугольник называется прямоугольным.
  4. Теорему, обратную теореме Пифагора.
  5. Какой вид имеет уравнение окружности.
  6. Что такое координаты точки.
  7. Простейшие задачи в координатах.

№1268 учебника 2023-2026 (стр. 322):

Вспомните:

  1. Что такое прямая.
  2. Что такое поворот.
  3. Как построить перпендикулярные прямые.
  4. Что такое касательная к окружности, ее свойство.

Ответ

№1268 учебника 2013-2022 (стр. 331):


№1268 учебника 2023-2026 (стр. 322):


Вернуться к содержанию учебника