Номер 684 - ГДЗ Алгебра 8 класс. Мерзляк, Полонский. Учебник. Страница 170

Вернуться к содержанию учебника

Упражнения §20. Страница 170

681 682 683 684 685 686 687

Вопрос

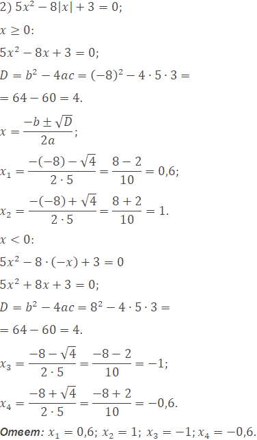
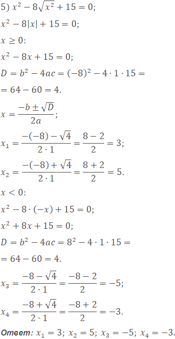
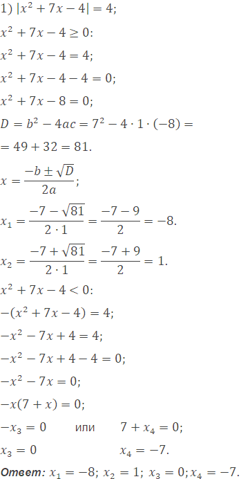
Решите уравнение:

Подсказка

Вспомните:

  1. Что такое уравнение.
  2. Решение уравнений.
  3. Что такое корень уравнения.
  4. Какое уравнение называют квадратным.
  5. Какое выражение называют дискриминантом квадратного уравнения.
  6. Формулу корней квадратного уравнения.
  7. Сложение, вычитание, умножение и деление рациональных чисел.
  8. Что такое арифметический квадратный корень.
  9. Свойства арифметического квадратного корня.
  10. Что называют модулем числа.

Ответ


Вернуться к содержанию учебника