|
Для любого действительного числа |
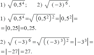
Пример 1: Найдите значение выражения:

Заметим, что для решения данных примеров надо помнить, что такое модуль.
(арифметический квадратный корень из степени)
Для любого действительного числа и любого натурального числа выполняется равенство ![]() |
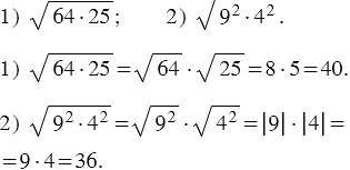
Пример 2: Найдите значение выражения:

(арифметический квадратный корень из произведения)
Для любых действительных чисел и таких, что и , выполняется равенство |
Пример 3: Найдите значение выражения:

(арифметический квадратный корень из дроби)
|
Для любых действительных чисел |
Пример 4: Найдите значение выражения:

Для любых неотрицательных чисел
1 и
2 таких, что
1>
2, выполняется неравенство 
Квадратные корни. Арифметический квадратный корень
Тождественные преобразования выражений, содержащих арифметические квадратные корни
Функция \(y = \sqrt{x}\) и её график
Степень с рациональным показателем.
Линейное уравнение с одной переменной
Решение задач с помощью уравнений
Тождественно равные выражения. Тождества
Степень с натуральным показателем
Свойства степени с натуральным показателем
Сложение и вычитание многочленов
Умножение одночлена на многочлен
Умножение многочлена на многочлен
Разложение многочленов на множители
Формулы сокращенного умножения
Квадратные корни. Дейстительные числа
Системы линейных уравнений с двумя переменными
Элементы математической логики
8 класс
Номер 1, Мерзляк, Полонский, Якир, Учебник
Номер 496, Мерзляк, Полонский, Якир, Учебник
Номер 904, Мерзляк, Полонский, Якир, Учебник
Упражнение 375, Макарычев, Миндюк, Нешков, Суворова, Учебник
Упражнение 417, Макарычев, Миндюк, Нешков, Суворова, Учебник
Упражнение 459, Макарычев, Миндюк, Нешков, Суворова, Учебник
Упражнение 489, Макарычев, Миндюк, Нешков, Суворова, Учебник
Упражнение 667, Макарычев, Миндюк, Нешков, Суворова, Учебник
Упражнение 668, Макарычев, Миндюк, Нешков, Суворова, Учебник
Упражнение 768, Макарычев, Миндюк, Нешков, Суворова, Учебник
9 класс
Упражнение 191, Макарычев, Миндюк, Нешков, Суворова, Учебник
Упражнение 325, Макарычев, Миндюк, Нешков, Суворова, Учебник
Упражнение 345, Макарычев, Миндюк, Нешков, Суворова, Учебник
Упражнение 391, Макарычев, Миндюк, Нешков, Суворова, Учебник
Упражнение 473, Макарычев, Миндюк, Нешков, Суворова, Учебник
Упражнение 479, Макарычев, Миндюк, Нешков, Суворова, Учебник
Упражнение 486, Макарычев, Миндюк, Нешков, Суворова, Учебник
Упражнение 687, Макарычев, Миндюк, Нешков, Суворова, Учебник
Упражнение 810, Макарычев, Миндюк, Нешков, Суворова, Учебник
Упражнение 434, Макарычев, Миндюк, Нешков, Суворова, Учебник