Номер 818 - ГДЗ Алгебра 8 класс. Мерзляк, Полонский. Учебник. Страница 201

Вернуться к содержанию учебника

Упражнения §24. Страница 201

815 816 817 818 819 820 821

Вопрос

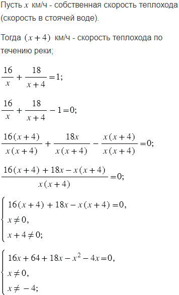
Теплоход прошёл 16 км по озеру, а затем 18 км по реке, берущей начало из этого озера, за 1 ч. Найдите скорость теплохода в стоячей воде, если скорость течения реки составляет 4 км/ч.

Подсказка

Ответ


Вернуться к содержанию учебника