Номер 813 - ГДЗ Алгебра 8 класс. Мерзляк, Полонский. Учебник. Страница 200

Вернуться к содержанию учебника

Упражнения §24. Страница 200

810 811 812 813 814 815 816

Вопрос

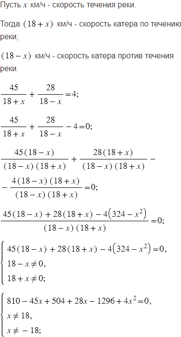
Катер прошёл 45 км по течению реки и 28 км против течения, потратив на весь путь 4 ч. Найдите скорость течения, если собственная скорость катера составляет 18 км/ч.

Подсказка

Ответ


Вернуться к содержанию учебника