Номер 819 - ГДЗ Алгебра 8 класс. Мерзляк, Полонский. Учебник. Страница 201

Вернуться к содержанию учебника

Упражнения §24. Страница 201

816 817 818 819 820 821 822

Вопрос

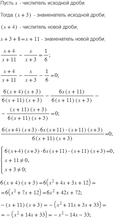
Знаменатель обыкновенной дроби на 3 больше её числителя. Если числитель этой дроби увеличить на 4, а знаменатель - на 8, то полученная дробь будет на больше исходной. Найдите исходную дробь.

Подсказка

Ответ


Вернуться к содержанию учебника