Номер 702 - ГДЗ Алгебра 8 класс. Мерзляк, Полонский. Учебник. Страница 172

Вернуться к содержанию учебника

Упражнения §20. Страница 172

699 700 701 702 703 704 1

Вопрос

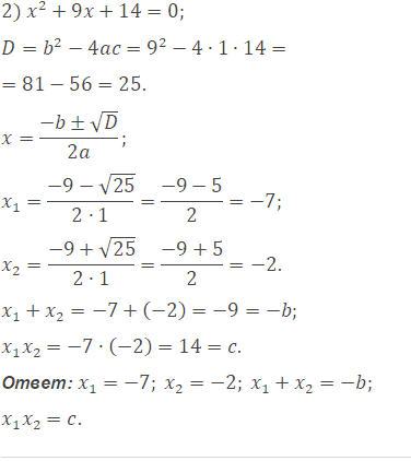
Решите уравнение, найдите сумму и произведение его корней и сравните их со вторым коэффициентом и свободным членом уравнения:

Подсказка

Вспомните:

  1. Что такое уравнение.
  2. Что такое корень уравнения.
  3. Какое уравнение называют квадратным.
  4. Как называют коэффициенты квадратного уравнения.
  5. Какое выражение называют дискриминантом квадратного уравнения.
  6. Формулу корней квадратного уравнения.
  7. Сложение, вычитание, умножение и деление рациональных чисел.

Ответ


Вернуться к содержанию учебника