Номер 2 - ГДЗ Алгебра 8 класс. Мерзляк, Полонский. Учебник. Страница 176

Вернуться к содержанию учебника

Вопросы § 21. Страница 176

703 704 1 2 3 4 705

Вопрос

Сформулируйте следствие из теоремы Виета.

Подсказка

Вспомните:

  1. Что такое уравнение.
  2. Какое уравнение называют квадратным.
  3. Теорему Виета.
  4. Следствие из теоремы Виета.

Ответ

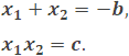
Если и - корни приведённого квадратного уравнения , то


Вернуться к содержанию учебника