Номер 731 - ГДЗ Алгебра 8 класс. Мерзляк, Полонский. Учебник. Страница 178

Вернуться к содержанию учебника

Упражнения §21. Страница 178

728 729 730 731 732 733 734

Вопрос

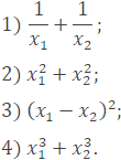
Известно, что и - корни уравнения Не решая уравнение, найдите значение выражения:

Подсказка

Ответ


Вернуться к содержанию учебника