Номер 743 - ГДЗ Алгебра 8 класс. Мерзляк, Полонский. Учебник. Страница 179

Вернуться к содержанию учебника

Упражнения §21. Страница 179

740 741 742 743 744 745 746

Вопрос

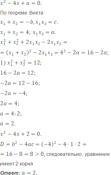
При каком значении сумма квадратов корней уравнения равна: 1) 12; 2) 6?

Подсказка

Вспомните:

  1. Что такое уравнение.
  2. Что называют корнем уравнения.
  3. Какое уравнение называют квадратным.
  4. Как найти дискриминант квадратного уравнения.
  5. Теорему Виета.
  6. Сложение и умножение рациональных чисел.

Ответ


Вернуться к содержанию учебника