Номер 745 - ГДЗ Алгебра 8 класс. Мерзляк, Полонский. Учебник. Страница 179

Вернуться к содержанию учебника

Упражнения §21. Страница 179

742 743 744 745 746 747 748

Вопрос

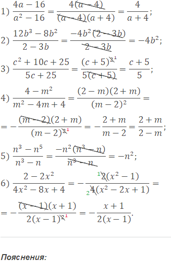
Сократите дробь:

Подсказка

Ответ


Вернуться к содержанию учебника