Номер 777 - ГДЗ Алгебра 8 класс. Мерзляк, Полонский. Учебник. Страница 190

Вернуться к содержанию учебника

Упражнения §23. Страница 190

1 775 776 777 778 779 780

Вопрос

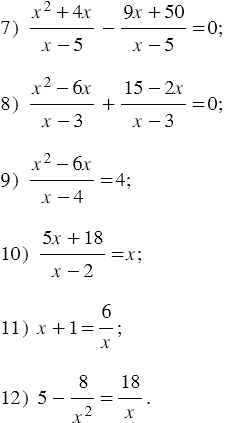
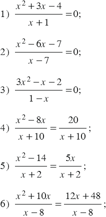
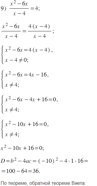
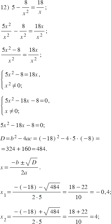
Решите уравнение:

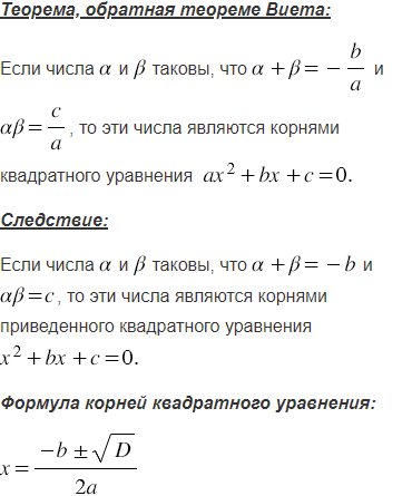
Подсказка

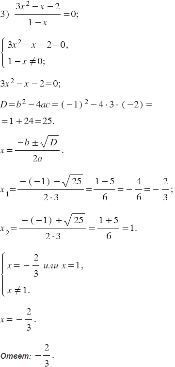
Ответ


Вернуться к содержанию учебника