Номер 778 - ГДЗ Алгебра 8 класс. Мерзляк, Полонский. Учебник. Страница 190

Вернуться к содержанию учебника

Упражнения §23. Страница 190

775 776 777 778 779 780 781

Вопрос

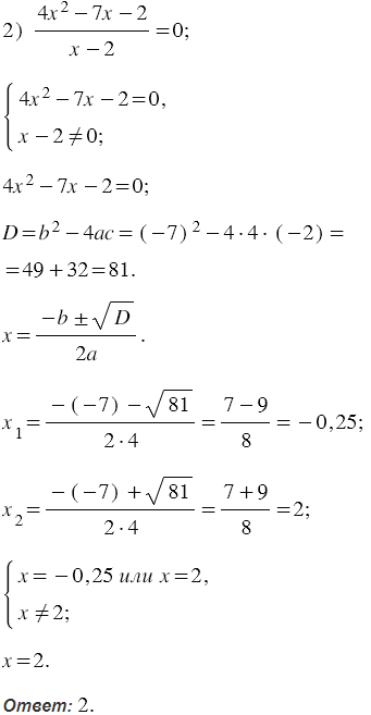
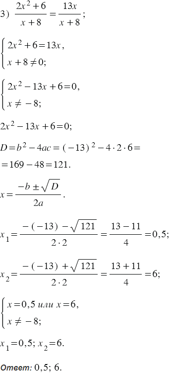
Решите уравнение:

Подсказка

Ответ


Вернуться к содержанию учебника