Номер 895 - ГДЗ Алгебра 8 класс. Мерзляк, Полонский. Учебник. Страница 223

Вернуться к содержанию учебника

Упражнения для повторения курса алгебры 8 класса. Страница 223

892 893 894 895 896 897 898

Вопрос

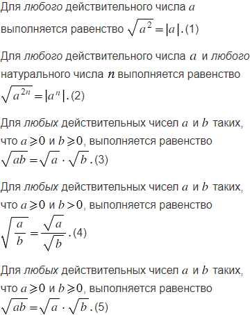
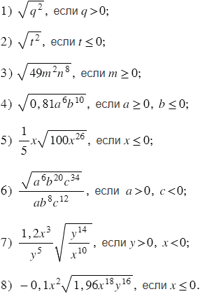
Упростите выражение:

Подсказка

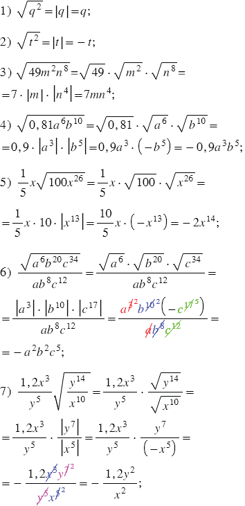
Ответ


Вернуться к содержанию учебника