Номер 907 - ГДЗ Алгебра 8 класс. Мерзляк, Полонский. Учебник. Страница 225

Вернуться к содержанию учебника

Упражнения для повторения курса алгебры 8 класса. Страница 225

904 905 906 907 908 909 910

Вопрос

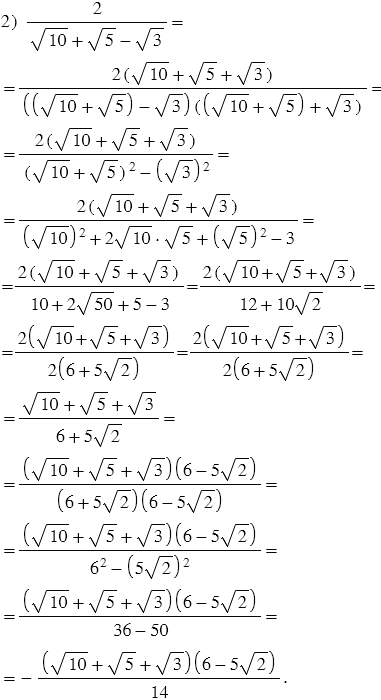
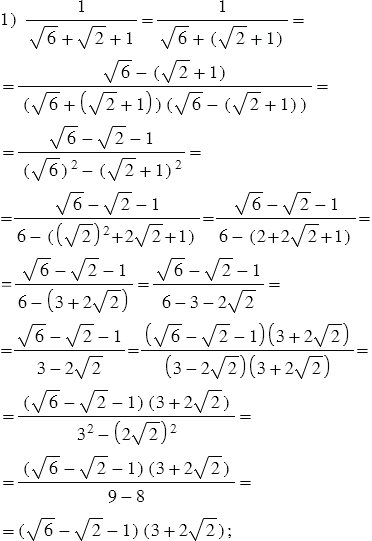
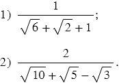
Освободитесь от иррациональности в знаменателе дроби:

Подсказка

Ответ


Вернуться к содержанию учебника