Номер 921 - ГДЗ Алгебра 8 класс. Мерзляк, Полонский. Учебник. Страница 226

Вернуться к содержанию учебника

Упражнения для повторения курса алгебры 8 класса. Страница 226

918 919 920 921 922 923 924

Вопрос

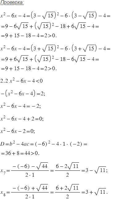
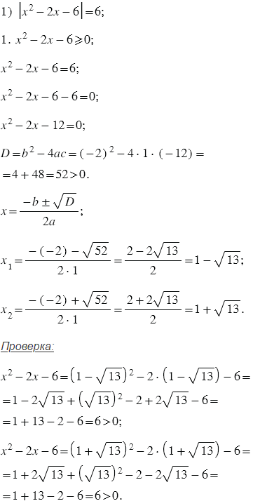
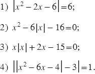
Решите уравнение:

Подсказка

Вспомните:

  1. Что такое уравнение.
  2. Что такое корень уравнения.
  3. Какое уравнение называют квадратным.
  4. Какое выражение называют дискриминантом квадратного уравнения.
  5. Формулу корней квадратного уравнения.
  6. Теорему, обратную теореме Виета.
  7.  Сложение, вычитание, умножение и деление рациональных чисел.
  8. Модуль числа.
  9. Арифметический квадратный корень.

Ответ


Вернуться к содержанию учебника