Номер 916 - ГДЗ Алгебра 8 класс. Мерзляк, Полонский. Учебник. Страница 225

Вернуться к содержанию учебника

Упражнения для повторения курса алгебры 8 класса. Страница 225

913 914 915 916 917 918 919

Вопрос

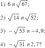
Какие целые числа расположены на координатной прямой между числами:

Подсказка

Ответ


Вернуться к содержанию учебника