Вернуться к содержанию учебника
Упражнения для повторения курса алгебры 8 класса. Страница 227
925 926 927 928 929 930 931 932 933 934 935
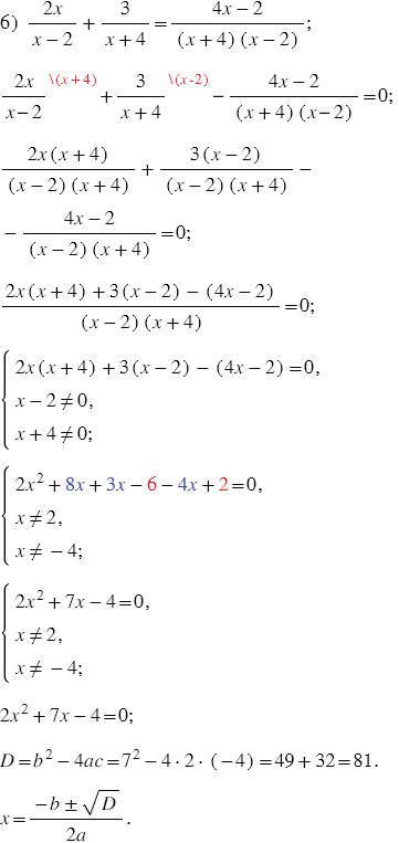
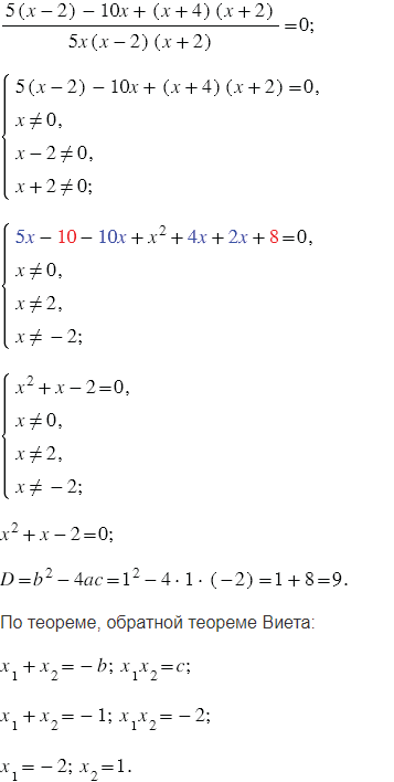
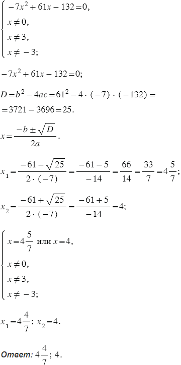
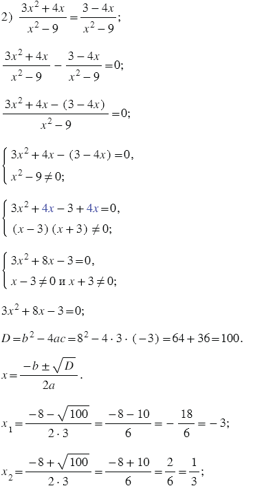
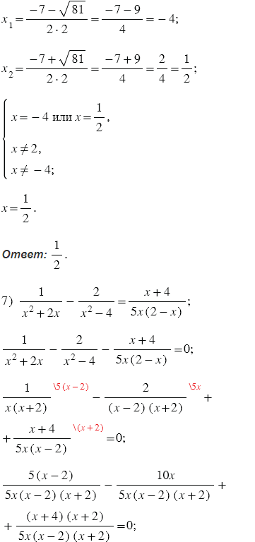
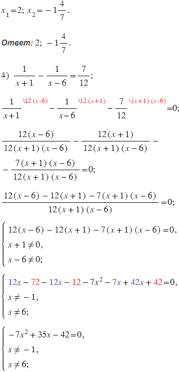
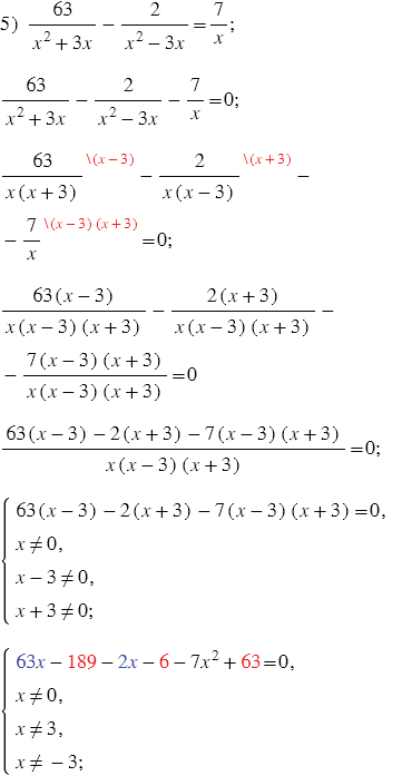
Решите уравнение:
Вспомните: